BOP Freizeit & Vereine Informationen Fabrik Pinnwand Ausweis Lesen Frauen und Beruf Frauen und Bildung Reisepass Medizin Helfen Haus Callcenter Familienzuhause Großvater Erziehung Familie mit Kind Verlobung Erde Tod Bau Zertifikat Katze Auto Datum und Uhrzeit Abmachung Wegweiser Vertrag Bus Nachwuchs Bürgerecho Facebook Twitter YouTube Instagram Flickr E-Mail nachladen nach unten Panorama Service Regeln Aktuelles Wissen Marktplatz Finanzen & Gebühren Umwelt & Klima Logout Vorreiterin Talentschmiede Wissenschaft Kultur Großstadt Kompetenzen Kompass Projekte Sportehrung: Abstimmung Sportehrung: Kriterien Sportehrung: Meldeformular Sportehrung: Rückblick Barrierefreiheit Weg Aussicht Baum Gitarre Konfetti Sprechblase
Statistik

Bochumer Einblicke

Mit den Bochumer Einblicken gibt die Statistikstelle anlassbezogen statistische Informationen über ausgewählte Themenfelder.

Statistik

Die Entwicklung der Elektromobilität in Bochum seit 2013 (Einblick aus 2022)

Die Europäische Union verfolgt mit dem EU Green Deal das Ziel, bis 2050 Klimaneutralität zu erreichen. Bis zum Jahr 2045 soll Deutschland „Treibhausgas-Neutralität“ erreichen. Entsprechend muss ein deutlicher Abbau der Treibhausgas-Emissionen vorgenommen werden, zu dem der grundsätzliche Wechsel von Verbrennungs- zu Elektroantrieben in Fahrzeugen maßgeblich beitragen soll.

Beim Thema Elektromobilität wird derzeit noch häufig im Schwerpunkt der PKW-Verkehr betrachtet. Andere Fahrzeuge, etwa wie Elektrobusse als öffentliche Transportmittel, elektrobetriebene (Klein-)Lastwagen/Transporter oder Zweiräder, die allmählich umweltfreundlicher werden, dürfen für den Abbau der Treibhausgas-Emissionen nicht vernachlässigt werden. Es ist zu erwarten, dass mittel- und langfristig die gesamte Transportbranche elektrisch sein wird.

Weltweit ist der Anteil an Elektrofahrzeugen (rein batteriebetriebene Fahrzeuge) in den letzten zehn Jahren deutlich angestiegen - eine Entwicklung, die sich vermutlich fortsetzen wird. In Deutschland gab es im Jahr 2012 nur rund 4.500 Elektroautos. 2020 wurden nach Angaben des Kraftfahrt-Bundesamtes mehr als 190.000 rein batterieelektrische PKW neu zugelassen, zuzüglich weiterer rund 200.000 Fahrzeuge mit anderen alternativen Antrieben (Plug-In-Hybrid, Gas- oder Wasserstoffantrieb).

Laut Kraftfahrt-Bundesamt waren zum 1. Januar 2020 rund 137.000 reine E-PKW und rund 102.000 Plug-In-Hybrid-Fahrzeuge zugelassen. Im Jahr danach 2021 waren es rund 309.000 reine E-Kfz und rund 280.000 Plug-In-Hybrid-Pkw. 2022 gab es in Deutschland über 618.000 reine Elektroautos und rund 566.000 Plug-In-Hybrid-Pkw. Damit hat sich in den Jahren 2020 bis 2022 der Bestand sowohl der reinen Elektroautos als auch der Plug-In-Hybrid-Kfz in jedem Jahr mehr als verdoppelt.

In Bochum gab es zum Jahreswechsel 2012/2013 rund 50 Elektrofahrzeuge, zum Jahresende 2022 fast 5.000, wobei seit der Jahresmitte 2021 eine exponentielle Steigerung zu verzeichnen ist (siehe „Tabelle E-Fahrzeugbestand in Bochum 2013 bis 2022“ und Abbildung „Entwicklung der Elektrofahrzeuge und E-Kennzeichen in Bochum seit 2013“).
 
Dabei zeigt sich, dass nach Einführung der E-Kennzeichen im Jahr 2015 in Deutschland ab Mitte 2017 in Bochum mehr E-Kennzeichen vergeben als reine Elektrofahrzeuge angemeldet wurden. Grund dafür ist, dass E-Kennzeichen nicht nur für reine Elektrofahrzeuge sondern auch für Hybrid-Fahrzeuge vergeben werden. Verpflichtend ist ein E-Kennzeichen nicht, das heißt: Fahrzeughalter können ein E-Kennzeichen beantragen, müssen es aber nicht.

Neben der Entwicklung der Elektro-Personenkraftwagen ist in Bochum auch bei anderen Kfz-Arten eine Einwicklung hin zur Elektromobilität zum verzeichnen. Zum Jahreswechsel 2012/2013 gab es in Bochum noch keine Busse mit reinem Elektroantrieb aber sieben Plug-In-Hybrid-Busse. Ende 2020 waren es zehn Busse mit Elektroantrieb und acht Plug-In-Hybrid-Busse, zum Jahresende 2022 zehn Busse mit Elektroantrieb und nur noch einen Plug-In-Hybrid-Bus. Bei den Lastkraftwagen gab es zum Jahreswechsel 2012/2013 weder reine Elektro-Lastkraftwagen noch Plug-In-Hybrid-LKW. Ende 2020 waren in Bochum 369 Lastkraftwagen mit Elektroantrieb und ein Plug-In-Hybrid-LKW gemeldet. Zum Jahresende 2022 gab es 344 angemeldete Lastkraftwagen und sechs Plug-In-Hybrid LKW.


Quellen:
Bundesministerium der Justiz (2019) – Bundes-Klimaschutzgesetz (Fassung vom 12.12.2019). Entnommen am 24.11.2022 aus: https://www.gesetze-im-internet.de/ksg/.
Deloitte (2022). Elektromobilität in Deutschland - Studie: Marktentwicklung bis 2030 und Handlungsempfehlungen. Entnommen am 29.11.2022 aus: https://www2.deloitte.com/de/de/pages/consumer-industrial-products/articles/elektromobilitaet-in-deutschland.html.
Stadt Bochum, Amt für Bürgerservice der Stadt Bochum, Büro für Kfz-Angelegenheiten.
VIRTA (2022). Der Trend und die Prognose für die Elektromobilität in Deutschland & weltweit. Entnommen am 24.11.2022 aus: https://www.virta.global/de/aktuelle-trends-und-prognosen-fur-die-elektromobilitat-in-deutschland#.

Ein statistischer Blick auf die Partnerstädte Bochums

Seit vielen Jahrzehnten pflegt Bochum Städtepartnerschaften zu anderen Städten im In- und Ausland.

Die erste Partnerschaft besteht bereits seit 1950 mit der Stadt Sheffield (England). Es folgte im Jahr 1980 die Partnerstadt Oviedo (Spanien) und sieben Jahre später (1987) die „offizielle“ Städtefreundschaft zu Donezk (Ukraine). Mit der Stadt Nordhausen in Thüringen ist Bochum seit 1990 städtepartnerschaftlich verbunden.

Die jüngste Partnerschaft wurde Ende 2019 in Japan unterzeichnet. Seitdem zählt Tsukuba als fünfte Stadt zum Kreis der Bochumer Partnerstädte.

Im Folgenden „schaut die Statistik“ auf die Partnerstädte aus dem Ausland und stellt die Entwicklung der Einwohnerzahlen in Bochum mit dem Fokus auf den Einwohnern dar, die eine ausländische Staatsangehörigkeit der oben genannten Partnerländer haben. In diesem Kontext bleibt die Partnerstadt Nordhausen in Thüringen somit in der Betrachtung unberücksichtigt.

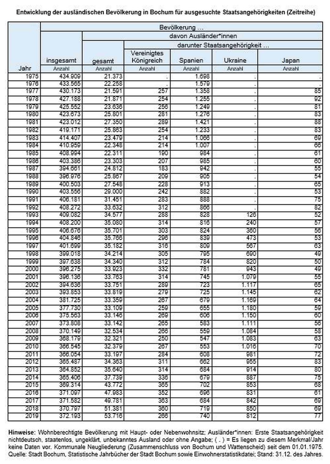
Wie viele Ausländerinnen und Ausländer (erste Staatsangehörigkeit nichtdeutsch) lebten und leben aktuell mit einer spanischen, ukrainischen, japanischen oder englischen Staatsangehörigkeit in Bochum?

Die nachfolgende Tabelle, die Sie auch als pdf-Datei über diesen link erhalten können, und die Abbildung zeigen die Entwicklung für Bochum ab dem Jahr der Kommunalen Neugliederung (01.01.1975). Allerdings liegen zu diesem Zeitpunkt noch nicht für alle Länder der Partnerstädte detaillierte historische Daten in den Statistischen Jahrbüchern der Stadt Bochum vor. Im Jahr 1975 zählte die Statistik rund 1.700 Einwohner*innen mit spanischer Staatsangehörigkeit in Bochum. Für das Vereinigte Königreich (England, Schottland, Wales, Nordirland gemeinsam) und Japan können ab dem Jahr 1977 separate Daten aus den Jahrbüchern ermittelt werden. Im Jahr 1977 lebten 257 Einwohner*innen mit der Staatsangehörigkeit Vereinigte Königreich und 85 Einwohner*innen mit japanischer Staatsangehörigkeit in Bochum. Für die Bochumer Bevölkerung mit ukrainischer Staatsangehörigkeit sind separate Daten ab dem Jahr 1993 verfügbar. Die Statistik zählte zu diesem Zeitpunkt 126 Einwohner*innen mit ukrainischer Staatsangehörigkeit. In der Zeitreihe zeigen sich hier für die Einwohnerzahlen gänzliche unterschiedliche Entwicklungen für die jeweiligen Staatsangehörigkeiten.

Daten sind die Informationsgrundlage, auf der Handlungsstrategien und Maßnahmen entwickelt und deren Wirkung bewertet werden können. Die Statistik liefert das Datenmaterial für die gestaltenden Akteure aus Verwaltung, Politik, Wissenschaft oder Gesellschaft.

Früher waren die Statistischen Jahrbücher die Hauptquelle für Informationen über Bochum (vor allem für Zeitreihen). Heute braucht eine moderne Veraltung eine zeitgemäße Informationsplattform wie BOStatIS für städtische Datennutzer, Bürgerinnen und Bürger, wissenschaftliche und sonstige Institutionen und Unternehmen.

Die spezifischen Fachdaten der Statistikstelle in Form von Tabellen, Grafiken, Berichten und Daten liegen ab sofort übersichtlich, gebündelt und komfortabel auch im Informationssystems "BOStatIS" der Statistikstelle. Der Name "BOStatIS" steht für "Bochumer Statistisches Informations-System". Das Bochumer Statistikinformationsportal BOStatIS finden sie unter https://bostatis.bochum.de/.

Für Rückmeldungen ist die Statistikstelle jederzeit dankbar.
Wir nehmen gerne Anregungen und Kritik entgegen: Senden Sie uns eine E-Mail an statistik@bochum.de.

Städtisches Geschehen spiegelt sich in vielerlei Fakten und Zahlen wider. Vieles von dem wird und wurde statistisch erfasst und seit 1954 dokumentiert: Bei der Statistikstelle vorliegend von 1957 bis 1970 für Wattenscheid (in den ehemaligen Stadtgrenzen) in einem eigenen Nachschlagewerk "Wattenscheid in Zahlen", für Bochum von 1954 bis 1974 ebenfalls in einem eigenen Kompendium "Statistisches Jahrbuch der Stadt Bochum" und nach der Zusammenführung von Wattenscheid und Bochum seit 1975 in Statistischen Jahrbüchern für Bochum. Federführend für die Zusammenstellung waren für Wattenscheid zur damaligen Zeit das dortige "Hauptamt", in Bochum das "Statistische Amt". Seit 1976 werden die Daten durch die städtische Statistikstelle - heute "Sachgebiet Statistik und Wirkungscontrolling" - veröffentlicht.

Deckblatt des ersten Statistischen Jahrbuchs der Stadt Bochum im Jahr 1954

Deckblatt des ersten Statistischen Jahrbuches von Wattenscheid im Jahr 1957

Das Themenspektrum war vielfältig und bis zum Jahr 2007 durchgehend umfangreich: Allgemeine Angaben zum Stadtgebiet und die Naturverhältnisse, das Wetter, Bevölkerungsstand und Bevölkerungsentwicklung, Zahlen zum Gesundheitswesen, dem Sozialwesen, dem Bau- und Wohnungswesen, der Wirtschaft, Öffentlicher Versorgung und Verkehr, Unterricht, Bildung, Presse, Sport waren ebenso zu finden wie Zahlen über die Stadtverwaltung Bochum, zu Wahlen oder zu Preisindizes für die Lebenshaltung. Die Jahrbücher ab dem Jahr 2007 verstehen sich als Tabellenband "Bevölkerung" und enthalten weitestgehend Daten zur Bevölkerungsstruktur und Bevölkerungsentwicklung in Bochum.

Jahrbuchseite mit Zahlen über Fläche und Einwohner Bochums 1876, 1904, 1926, 1929 und 1975 im Zuge von Eingemeindungen
Fläche und Einwohner Bochums in den Jahren 1876, 1904, 1926, 1929 und 1975 im Zuge von Eingemeindungen (Quelle: Stadt Bochum - Sachgebiet Statistik und Wirkungscontrolling)

Die Statistikstelle stellt jetzt alle vorhandenen Jahrbücher seit 1954 als eingescannte pdf-Dateien über das Internet jederzeit zugängig zur Verfügung - Sie finden sie unter https://bostatis.bochum.de/ - unter "Berichte und Veröffentlichungen".

In Jahr 2017 feiert Wattenscheid Jubiläum.

Vor 600 Jahren - im Jahr 1417 - erhält die Gemeinde Wattenscheid durch Graf Adolf IV. die Freiheitsrechte.

Nach der Eingemeindung 1975 freuen sich viele Wattenscheider im November 2012 über die Möglichkeit, wieder das "neue alte WAT-Nummernschild"  an ihr Fahrzeug anbringen zu können und damit ein Stück gefühlte Identität zurück zu gewinnen
(siehe auch Ruhr Nachrichten vom 14. November 2012).

Im November 2012 waren 1.422 Kraftfahrzeuge mit WAT-Kenzeichen angemeldet. Im September 2015 wurde die "erste magische Zehntausender-Hürde" mit 10.149 Fahrzeugen mit WAT-Nummernschild genommen (siehe auch Beitrag in "DerWesten" vom 4. Januar 2016) und im Mai 2017, nähern wir uns mit 12.624 gemeldeten WAT-Kennzeichen einer weiteren Tausender-Marke, Tendenz ungebrochen.

Entwicklung der Kfz-Bestandes mit Kennzeichen WAT

Entwicklung des Kfz-Bestandes in Bochum mit Kennzeichen WAT von November 2012 bis Mai 2017 (Quelle: Stadt Bochum, Straßenverkehrsamt, Grafische Umsetzung Statistik und Wirkungscontrolling)

Im Monat Mai haben wir in diesem Jahr 2017 zwei Ereignisse, die auf ein und dasselbe Datum fallen. Zum einen können die Bochumer Bürgerinnen und Bürger am 14. Mai den Landtag NRW neu wählen, zum anderen feiern wir an diesem Tag auch Muttertag.

Was liegt näher, als auf die Lebensform „Familie“ zu schauen. Mit Hilfe des in den Statistikstellen der Städte vorhandenen Programms zur Haushaltegenerierung (1) kann die Zahl der Haushalte in denen ein oder mehrere minderjährige Kinder leben, annähernd ermittelt werden.

Die Frage, wie viele Mütter in Bochum leben, kann aus den verfügbaren Statistiken nicht konkret beantwortet werden. Die Zahl der Mütter die mit ihren erwachsenen Kindern am 14. Mai Muttertag feiern könnten - unabhängig davon ob sie im selben Haushalt leben oder nicht - kann das Verfahren nicht auswerten. Eine Teilantwort erscheint aber möglich.

Am 31. Dezember 2016 gab es in Bochum rund 193.800 Haushalte. In rund 32.400 Haushalten (17 Prozent) lebten ein oder mehrere Kinder im Alter von unter 18 Jahren. Geht man davon aus, dass zumeist in jedem dieser Haushalte auch die Mutter der Kinder lebt, könnten rund 32.400 Mütter mit ihren minderjährigen Kindern Muttertag feiern.

In rund 55 Prozent der Haushalte mit Kindern (absolut 17.770) lebt ein Kind. In rund 33 Prozent (absolut 10.860) sind es zwei Kinder und in 12 Prozent der Haushalte (absolut 3.800) sind es drei oder mehr Kinder. Ein besonderer Blick gilt unter den Haushalten mit Kindern den Alleinerziehenden. Zum Jahresende 2016 gab es rund 7.800 Haushalte, in denen die Bezugsperson das Kind beziehungsweise die Kinder alleine erzieht.

Haushalte mit und ohne Kinder in Bochum 2016 (Quelle: Stadt Bochum, Statistik und Wirkungscontrolling, Haushaltegenerierungsverfahren, Stand 31.12.2016)

(1) Wie ist das Verfahren zur Haushaltegenerierung aufgebaut?
Als Datenquelle für das Verfahren wird das Einwohnermelderegister der Kommunen genutzt. Das Register enthält nicht automatisch Angaben zu den Haushalten einer Stadt, aber aus den dort vorhandenen Informationen führt das Programm die an einer Adresse wohnenden Personen (anhand von Merkmalsvergleichen wie zum Beispiel Namensgleichheit, gleiches Einzugsdatum, und so weiter) als Personengemeinschaft beziehungsweise Haushalt zusammen.
Mit Hilfe des Haushaltegenerierungsverfahrens (HHGEN2000) werden somit Schätzwerte zur Struktur und Zahl der Haushalte ermittelt. Die Haushalte werden also nicht - wie bei einer Volkszählung - erhoben, sondern beruhen auf einem komplizierten Rechenverfahren. Haushalte mit Kind: Ledige Person unter 18 Jahre.

Der demografische Wandel trifft auch die Kirchen, was sich in der langfristigen Entwicklung und in der heutigen Struktur der Bevölkerung nach Religionszugehörigkeit widerspiegelt. Aus Anlass des Reformationsjubiläums im Jahr 2017 hat der Fachbereich Statistik und Stadtforschung ausgesuchte Daten zur Religionszugehörigkeit zusammengestellt.

Die langfristige Entwicklung zeigt, dass sich seit 1990 der Anteil der katholischen und evangelischen Bevölkerung immer weiter angeglichen hat, jedoch für beide Religionsgemeinschaften mit sinkenden Anteilen.
Dagegen steigt in den letzten Jahren der Anteil der Bevölkerung die einer sonstigen öffentlich-rechtlichen Religionsgemeinschaft angehören oder keine Zugehörigkeit haben kontinuierlich an und war erstmalig im Jahr 2009 mit 33,8 Prozent (absolut rund 124.500 Personen) größer als der Anteil der Bevölkerung mit evangelischer (32,9 Prozent beziehungsweise absolut rund 121.000 Personen) oder katholischer Religionszugehörigkeit (33,3 Prozent - absolut rund 122.600 Personen) in Bochum.

Diese Entwicklung hält an, mit steigender Tendenz. Im Jahr 2016 lag der Anteil der Einwohner mit evangelischer Religionszugehörigkeit bei rund 29 Prozent (absolut rund 107.100 Personen), der Katholiken bei rund 30 Prozent (absolut rund 111.700) und der Einwohner mit einer anderen Religionsgemeinschaft oder ohne Zugehörigkeit bei rund 41 Prozent (absolut rund 152.400).
 

Bevölkerung in Bochum nach Religionszugehörigkeit ab 1975 (Quelle: Stadt Bochum, Statistik und Wirkungscontrolling)

Hinweis:
Angaben zur Zugehörigkeit zu einer Religionsgemeinschaft werden melderechtlich erhoben für die Kirchen, die als Körperschaften des öffentlichen Rechts Kirchensteuer erheben können. Neben den Einwohnern die eine evangelische oder katholische Religionszugehörigkeit haben, hat sich als dritte Gruppe die Einwohner die keiner oder einer anderen Religionsgemeinschaft angehören etabliert.

Weitere Fakten und Zahlen zur Religionszugehörigkeit unter anderem auch einige vergleichende Daten für die Stadt Bochum (in den damaligen Stadtgrenzen) und für die Stadt Wattenscheid (in den damaligen Stadtgrenzen) finden Sie auf der weiterführenden Seite zum Thema Religionszugehörigkeit.

Immer mehr eingetragene Lebenspartnerschaften

Seit dem Inkrafttreten des Gesetzes über die eingetragene Lebenspartnerschaft im August 2001 ist in Deutschland die Beziehung zweier Menschen gleichen Geschlechts rechtlich abgesichert. Bis erste Statistiken zur neuen Lebensform der "Eingetragenen Lebenspartnerschaft" vorlagen, dauerte es noch einige Jahre. Für Bochum liegen seit 2009 gesicherte Zahlen vor. Seit 2009 hat sich die Zahl der Personen, die in eingetragenen Lebenspartnerschaften leben, bis heute nahezu verdoppelt.

Die Grafik zeigt die Entwicklung der Lebenspartnerschaften in Bochum 2009 bis 2015
Entwicklung der Lebenspartnerschaften in Bochum 2009 bis 2015 (Quelle: Stadt Bochum, Statistik und Wirkungscontrolling)

Weitere Zahlen und Abbildungen über Lebenspartnerschaften in Bochum erhalten sie in aller Kürze als PDF-Datei hier zum Download.

Adresse / Kontakt

Referat für politische Gremien, Bürgerbeteiligung und Kommunikation
Statistik und Wirkungscontrolling
Hans-Böckler-Str. 6
44777 Bochum

Navigation

44787 Bochum

Faxnummer
0234 910-5070
E-Mail Adresse
statistik@bochum.de

Öffnungszeiten

Montag - Donnerstag:
08:00 bis 15:30 Uhr

Freitag:
08:00 bis 13:30 Uhr

Anfahrt / Standort